利辛县王市镇人民政府
当前位置: 网站首页 > 政府信息公开 > 王市镇 > 食品生产经营监督检查
索引号: 11341623003185012L/202512-00002 组配分类: 食品生产经营监督检查
发布机构: 利辛县王市镇人民政府 主题分类: 市场监管、安全生产监管
名称: 王市镇2025年食品生产经营监督检查结果 文号:
发文日期: 2025-12-10 发布日期: 2025-12-10
索引号: 11341623003185012L/202512-00002
组配分类: 食品生产经营监督检查
发布机构: 利辛县王市镇人民政府
主题分类: 市场监管、安全生产监管
名称: 王市镇2025年食品生产经营监督检查结果
文号:
发文日期: 2025-12-10
发布日期: 2025-12-10
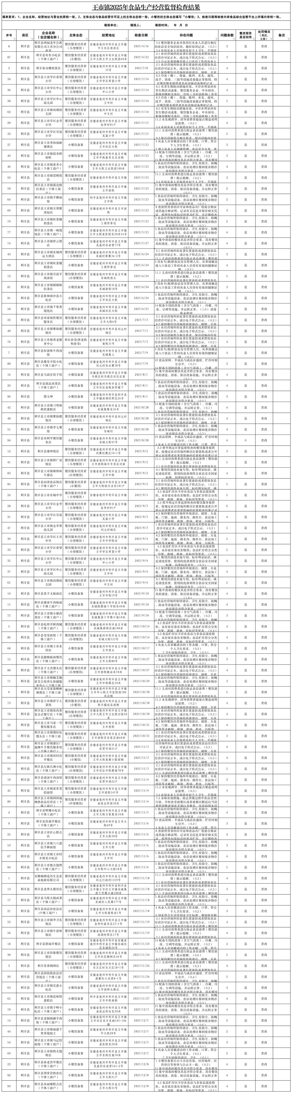
王市镇2025年食品生产经营监督检查结果
发布时间:2025-12-10 10:37 信息来源:利辛县王市镇人民政府 浏览次数: 字体:[ ]

收起